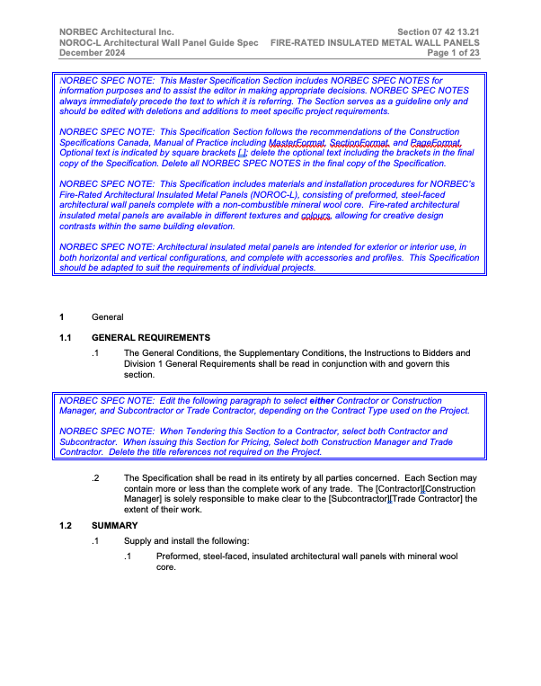
Our Specification Partners
Strategic collaborations to provide architects and specifiers with high-performance and innovative solutions.
Welcome to our Specification Partners page, where we collaborate with leading industry experts to provide architects and specifiers with the resources they need to design and build with confidence.
Here, you’ll find a curated selection of trusted partners offering high-quality products, technical expertise, and innovative solutions tailored to the construction industry. Our goal is to streamline the specification process by providing easy access to essential product information, certifications, and expert insights.
Explore our partners and discover how their solutions can support your next project.

Bibliotech is Canada’s go-to platform for construction professionals, offering a comprehensive database of companies, products, and educational webinars.
Launched in 2020 to bridge the gap in digital access to product information, Bibliotech provides a free, robust resource for architects and industry experts. Bibliotech Academy enhances this with curated webinars, while Teki, our AI chatbot, simplifies building code research and product sourcing.
Committed to human health and sustainability, Bibliotech empowers professionals to build a smarter, greener future.
Visit the web site
SpecLink is a cloud-based, centralized specification software that uses automated workflows, smart linking technology, and CSI-standard content to create a dynamic, credible “single source of truth” throughout the construction lifecycle.
With SpecLink you can manage specifications from a single database, thereby eliminating version control issues that can lead to costly errors. The software allows you to edit specs 70% faster through inclusion editing, rather than deleting content. Here is the location information for our Norbec products.
- 074213.19- NORBEC
- 074213.19- RIB
- 083413- RIB



